ul. Iwańska 11, 26-025 Łagów
tel. 41 307 41 21, 41 307 40 33, fax. 41 307 42 36
www.lagowgmina.pl email: urzad@lagowgmina.pl
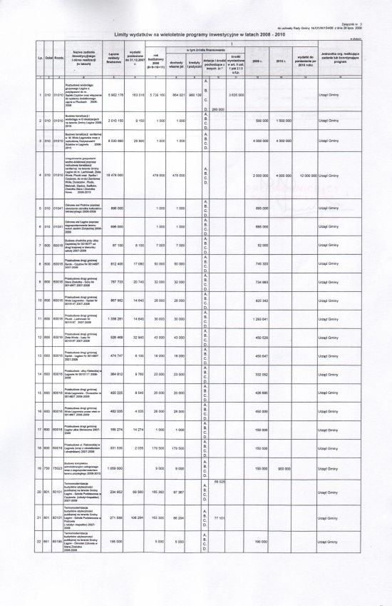
| Uchwała nr XXVIII/154/08 Rady gminy Łagów z dnia 28 lipca 2008 r. w sprawie zmian w budżecie Gminy Łagów na rok 2008 | 2008-10-02 |
![]() Uchwała nr XXVIII/154/08 str. 1 zapisz drukuj | ![]() Uchwała nr XXVIII/154/08 str. 2 zapisz drukuj | ![]() Uchwała nr XXVIII/154/08 str. 3 zapisz drukuj | ![]() Uchwała nr XXVIII/154/08 str. 4 zapisz drukuj |
![]() Uchwała nr XXVIII/154/08 str. 5 zapisz drukuj | ![]() Uchwała nr XXVIII/154/08 str. 6 zapisz drukuj | ![]() Uchwała nr XXVIII/154/08 str. 7 zapisz drukuj |
ilość odsłon : 157
wprowadził : Borek Małgorzata (2008-10-02 09:28:37)
zatwierdził : Borek Małgorzata (2008-10-02 09:30:07)
ostatnia zmiana : Borek Małgorzata (2008-10-02 09:30:07) rejestr zmian